Zinc Has A Work Function Of 4.31 Ev . (a) find the cutoff wavelength for zinc. The work function for zinc is 4.31 ev.    — zinc and cadmium have photoelectric work functions given by $w_{z n}=4.33 \mathrm{ev}$ and $w_{\mathrm{cd}}=4.22. The work function for zinc is 4.31 ev. (b) what is the lowest frequency of light incident.  zinc has a work function of 4.31 ev. The work function for zinc is 4.31 ev. (a) find the cutoff wavelength for zinc.    — for zinc, the work function is given as 4.31 ev. Find the cutoff wavelength and cutoff frequency for the photoelectric effect. To convert the energy from electron volts (ev) to joules (j), we can. (b) what is the lowest frequency of light. (a) find the cutoff wavelength for zinc. Zinc has a work function of 4.31 ev. (a) find the cutoff wavelength and cutoff frequency for the photoelectric effect.
        
        from www.toppr.com 
     
        
        Find the cutoff wavelength and cutoff frequency for the photoelectric effect. (b) what is the lowest frequency of light incident.    — zinc and cadmium have photoelectric work functions given by $w_{z n}=4.33 \mathrm{ev}$ and $w_{\mathrm{cd}}=4.22.    — for zinc, the work function is given as 4.31 ev. (a) find the cutoff wavelength for zinc. To convert the energy from electron volts (ev) to joules (j), we can. The work function for zinc is 4.31 ev. (a) find the cutoff wavelength and cutoff frequency for the photoelectric effect. The work function for zinc is 4.31 ev. The work function for zinc is 4.31 ev.
    
    	
            
	
		 
         
    The work function of a metal is 1.84 eV . If the wavelength of incident photon is 4000 A , Then 
    Zinc Has A Work Function Of 4.31 Ev  (b) what is the lowest frequency of light. (a) find the cutoff wavelength for zinc. Zinc has a work function of 4.31 ev.    — for zinc, the work function is given as 4.31 ev.    — zinc and cadmium have photoelectric work functions given by $w_{z n}=4.33 \mathrm{ev}$ and $w_{\mathrm{cd}}=4.22. (b) what is the lowest frequency of light incident. (a) find the cutoff wavelength for zinc. (a) find the cutoff wavelength for zinc. Find the cutoff wavelength and cutoff frequency for the photoelectric effect. The work function for zinc is 4.31 ev. The work function for zinc is 4.31 ev. (b) what is the lowest frequency of light. The work function for zinc is 4.31 ev. (a) find the cutoff wavelength and cutoff frequency for the photoelectric effect. To convert the energy from electron volts (ev) to joules (j), we can.  zinc has a work function of 4.31 ev.
            
	
		 
         
 
    
        From www.glutenfreesociety.org 
                    What Are The Functions of Zinc? Gluten Free Society Zinc Has A Work Function Of 4.31 Ev  Zinc has a work function of 4.31 ev. (a) find the cutoff wavelength for zinc.  zinc has a work function of 4.31 ev. To convert the energy from electron volts (ev) to joules (j), we can.    — for zinc, the work function is given as 4.31 ev. (a) find the cutoff wavelength for zinc. The work function for. Zinc Has A Work Function Of 4.31 Ev.
     
    
        From www.slideserve.com 
                    PPT Zinc PowerPoint Presentation, free download ID2113540 Zinc Has A Work Function Of 4.31 Ev  The work function for zinc is 4.31 ev. The work function for zinc is 4.31 ev. To convert the energy from electron volts (ev) to joules (j), we can. (b) what is the lowest frequency of light incident. (a) find the cutoff wavelength and cutoff frequency for the photoelectric effect. Find the cutoff wavelength and cutoff frequency for the photoelectric. Zinc Has A Work Function Of 4.31 Ev.
     
    
        From www.toppr.com 
                    The work function of a substance is 4.0 eV. The longest wavelength of light that can cause Zinc Has A Work Function Of 4.31 Ev  Find the cutoff wavelength and cutoff frequency for the photoelectric effect. The work function for zinc is 4.31 ev. The work function for zinc is 4.31 ev. (a) find the cutoff wavelength for zinc. (a) find the cutoff wavelength for zinc.  zinc has a work function of 4.31 ev. (b) what is the lowest frequency of light.    —. Zinc Has A Work Function Of 4.31 Ev.
     
    
        From www.bartleby.com 
                    Answered Part A Zinc has a work function of… bartleby Zinc Has A Work Function Of 4.31 Ev  (a) find the cutoff wavelength for zinc. The work function for zinc is 4.31 ev. Find the cutoff wavelength and cutoff frequency for the photoelectric effect. The work function for zinc is 4.31 ev. Zinc has a work function of 4.31 ev. (a) find the cutoff wavelength and cutoff frequency for the photoelectric effect. To convert the energy from electron. Zinc Has A Work Function Of 4.31 Ev.
     
    
        From www.numerade.com 
                    SOLVED A certain metal having a work function of 5.4 eV is illuminated with light of frequency Zinc Has A Work Function Of 4.31 Ev  (a) find the cutoff wavelength for zinc. Find the cutoff wavelength and cutoff frequency for the photoelectric effect. (b) what is the lowest frequency of light. To convert the energy from electron volts (ev) to joules (j), we can.    — for zinc, the work function is given as 4.31 ev. (a) find the cutoff wavelength for zinc.    —. Zinc Has A Work Function Of 4.31 Ev.
     
    
        From www.youtube.com 
                    Light of wavelength 2000 Å falls on a metal surface of work function 4.2 eV. (i) What is the Zinc Has A Work Function Of 4.31 Ev  (a) find the cutoff wavelength for zinc.    — for zinc, the work function is given as 4.31 ev. (a) find the cutoff wavelength for zinc. To convert the energy from electron volts (ev) to joules (j), we can. (b) what is the lowest frequency of light. (a) find the cutoff wavelength for zinc. The work function for zinc is. Zinc Has A Work Function Of 4.31 Ev.
     
    
        From www.researchgate.net 
                    Lead and zinc (a) and copper (b) uptakes as a function of equilibrium... Download Scientific Zinc Has A Work Function Of 4.31 Ev     — zinc and cadmium have photoelectric work functions given by $w_{z n}=4.33 \mathrm{ev}$ and $w_{\mathrm{cd}}=4.22. (a) find the cutoff wavelength for zinc. (a) find the cutoff wavelength for zinc. (a) find the cutoff wavelength and cutoff frequency for the photoelectric effect. The work function for zinc is 4.31 ev.  zinc has a work function of 4.31 ev. The. Zinc Has A Work Function Of 4.31 Ev.
     
    
        From www.researchgate.net 
                    Functions of zinc in human body Download Scientific Diagram Zinc Has A Work Function Of 4.31 Ev  (b) what is the lowest frequency of light.    — for zinc, the work function is given as 4.31 ev. The work function for zinc is 4.31 ev. Find the cutoff wavelength and cutoff frequency for the photoelectric effect. Zinc has a work function of 4.31 ev. (a) find the cutoff wavelength for zinc.  zinc has a work function. Zinc Has A Work Function Of 4.31 Ev.
     
    
        From www.researchgate.net 
                    Functions of zinc in human body Download Scientific Diagram Zinc Has A Work Function Of 4.31 Ev  (a) find the cutoff wavelength for zinc. Find the cutoff wavelength and cutoff frequency for the photoelectric effect. (b) what is the lowest frequency of light. To convert the energy from electron volts (ev) to joules (j), we can. The work function for zinc is 4.31 ev. (a) find the cutoff wavelength for zinc.    — zinc and cadmium have. Zinc Has A Work Function Of 4.31 Ev.
     
    
        From www.chegg.com 
                    Solved Zinc has a work function of 4.30 eV Part A What is Zinc Has A Work Function Of 4.31 Ev   zinc has a work function of 4.31 ev. (a) find the cutoff wavelength for zinc. The work function for zinc is 4.31 ev.    — zinc and cadmium have photoelectric work functions given by $w_{z n}=4.33 \mathrm{ev}$ and $w_{\mathrm{cd}}=4.22. The work function for zinc is 4.31 ev. (b) what is the lowest frequency of light. (b) what is the. Zinc Has A Work Function Of 4.31 Ev.
     
    
        From www.toppr.com 
                    The work function of a metal is 1.84 eV . If the wavelength of incident photon is 4000 A , Then Zinc Has A Work Function Of 4.31 Ev  (b) what is the lowest frequency of light incident. Zinc has a work function of 4.31 ev. The work function for zinc is 4.31 ev. Find the cutoff wavelength and cutoff frequency for the photoelectric effect. (b) what is the lowest frequency of light. (a) find the cutoff wavelength for zinc. (a) find the cutoff wavelength and cutoff frequency for. Zinc Has A Work Function Of 4.31 Ev.
     
    
        From www.researchgate.net 
                    Work Function (eV) for Some Metals,* Graphite, { and Carbon Materials { Download Table Zinc Has A Work Function Of 4.31 Ev  The work function for zinc is 4.31 ev. (a) find the cutoff wavelength for zinc. (a) find the cutoff wavelength for zinc. Find the cutoff wavelength and cutoff frequency for the photoelectric effect. (b) what is the lowest frequency of light. To convert the energy from electron volts (ev) to joules (j), we can. (a) find the cutoff wavelength and. Zinc Has A Work Function Of 4.31 Ev.
     
    
        From www.cambridge.org 
                    Work function of doped zinc oxide films deposited by ALD Journal of Materials Research Zinc Has A Work Function Of 4.31 Ev  Find the cutoff wavelength and cutoff frequency for the photoelectric effect. To convert the energy from electron volts (ev) to joules (j), we can. The work function for zinc is 4.31 ev.    — for zinc, the work function is given as 4.31 ev.    — zinc and cadmium have photoelectric work functions given by $w_{z n}=4.33 \mathrm{ev}$ and $w_{\mathrm{cd}}=4.22.. Zinc Has A Work Function Of 4.31 Ev.
     
    
        From www.numerade.com 
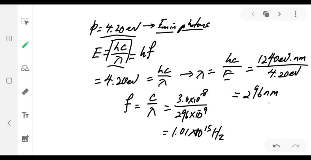
                    SOLVED Molybdenum has a work function of 4.2 eV. (a) Find the cutoff wavelength and threshold Zinc Has A Work Function Of 4.31 Ev   zinc has a work function of 4.31 ev. The work function for zinc is 4.31 ev. Zinc has a work function of 4.31 ev. (a) find the cutoff wavelength for zinc. (a) find the cutoff wavelength for zinc. (a) find the cutoff wavelength for zinc.    — for zinc, the work function is given as 4.31 ev. (a) find. Zinc Has A Work Function Of 4.31 Ev.
     
    
        From www.numerade.com 
                    SOLVEDMolybdenum has a work function of 4.20 mathrm{eV}. (a) Find the cutoff wavelength and Zinc Has A Work Function Of 4.31 Ev  The work function for zinc is 4.31 ev. (a) find the cutoff wavelength for zinc.    — zinc and cadmium have photoelectric work functions given by $w_{z n}=4.33 \mathrm{ev}$ and $w_{\mathrm{cd}}=4.22. (a) find the cutoff wavelength for zinc. The work function for zinc is 4.31 ev.  zinc has a work function of 4.31 ev. (a) find the cutoff wavelength. Zinc Has A Work Function Of 4.31 Ev.
     
    
        From www.teachoo.com 
                    [Term 2] Light of wavelength 2000 Å falls on a metal surface of work Zinc Has A Work Function Of 4.31 Ev  The work function for zinc is 4.31 ev. (a) find the cutoff wavelength for zinc.    — zinc and cadmium have photoelectric work functions given by $w_{z n}=4.33 \mathrm{ev}$ and $w_{\mathrm{cd}}=4.22.  zinc has a work function of 4.31 ev. The work function for zinc is 4.31 ev. (a) find the cutoff wavelength for zinc. (a) find the cutoff wavelength. Zinc Has A Work Function Of 4.31 Ev.
     
    
        From www.researchgate.net 
                    Scheme for zinc distribution in the body. Dietary zinc is absorbed in... Download Scientific Zinc Has A Work Function Of 4.31 Ev  (b) what is the lowest frequency of light. (b) what is the lowest frequency of light incident. (a) find the cutoff wavelength and cutoff frequency for the photoelectric effect. Zinc has a work function of 4.31 ev. (a) find the cutoff wavelength for zinc. The work function for zinc is 4.31 ev. To convert the energy from electron volts (ev). Zinc Has A Work Function Of 4.31 Ev.
     
    
        From www.numerade.com 
                    SOLVED Text Work Functions for Photoelectric Effect Element Work Function (eV) Aluminum 4.08 Zinc Has A Work Function Of 4.31 Ev  (b) what is the lowest frequency of light.    — zinc and cadmium have photoelectric work functions given by $w_{z n}=4.33 \mathrm{ev}$ and $w_{\mathrm{cd}}=4.22. To convert the energy from electron volts (ev) to joules (j), we can. (a) find the cutoff wavelength for zinc. The work function for zinc is 4.31 ev. Zinc has a work function of 4.31 ev.. Zinc Has A Work Function Of 4.31 Ev.